O Tribunal Superior Eleitoral (TSE) divulgou, nesta segunda-feira (17), o valor do Fundo Especial de Financiamento de Campanha (FEFC) para realização da campanha eleitoral para as eleições municipais. De acordo com o órgão, os partidos irão receber R$ 4,9 bilhões para a disputa do pleito.
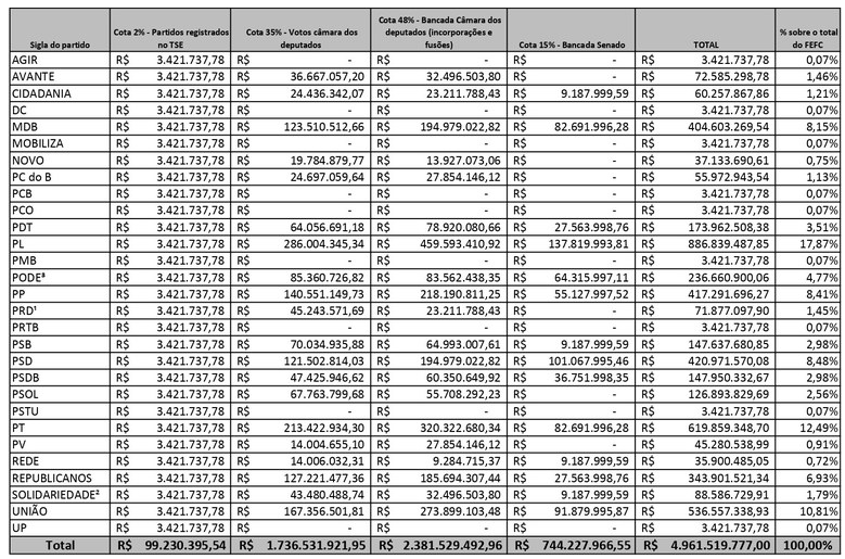
O recurso será distribuído de acordo com o número de eleitos em 2022. O partido que vai receber a maior parte do valor será o PL. Segundo a Agência Brasil, a legenda poderá dividir R$ 886,8 milhões entre seus candidatos aos cargos de prefeito, vice-prefeito e vereador. Em segundo lugar, está o PT, que receberá R$ 619,8 milhões.
Em seguida, aparecem o União Brasil, com R$ 536,5 milhões, PSD, com R$ 420,9 milhões, PP, com R$ 417,2 milhões, MDB, com R$ 404,6 milhões, e Republicanos, com R$ 343,9 milhões. O Agir, DC, PCB, PCO, PSTU e UP ficarão com os menores recursos e poderão gastar em torno de R$ 3 milhões nas suas campanhas.
Veja a tabela de distribuição divulgada pelo TSE:

Divisão
O repasse dos recursos está previsto na Lei das Eleições e leva em conta a divisão igualitária entre todos os partidos registrados no TSE, que levam 2% do total, mais 35% em relação aos votos obtidos na Câmara dos Deputados, mais 48% conforme o tamanho da bancada na Câmara (fusões e incorporações), além da cota de 15% pela bancada no Senado.
Fundo Eleitoral
O Fundo Eleitoral é repassado aos partidos em anos de eleições. O repasse foi criado pelo Congresso em 2017 após a decisão do Supremo, que, em 2015, proibiu o financiamento das campanhas por empresas privadas. Além do Fundo Eleitoral, os partidos também contam com o Fundo Partidário, que é distribuído anualmente para manutenção das atividades administrativas.
Leia mais sobre: Política

